Elemento de la calificación de la gradación de un suelo, conocido también como factor de forma. El coeficiente de curvatura es un indicador del equilibrio relativo que existe entre los diferentes rangos de tamaño de partículas del suelo. Cuantitativamente se expresa como:
donde:
D10: diámetro máximo de partículas en la fracción que contiene el 10% más fino del suelo.
D30: diámetro máximo de partículas en la fracción que contiene el 30% más fino del suelo.
D60: diámetro máximo de partículas en la fracción que contiene el 60% más fino del suelo.
Cc: Coeficiente de uniformidad.
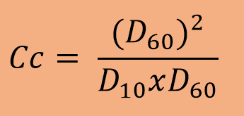
donde:
D10: diámetro máximo de partículas en la fracción que contiene el 10% más fino del suelo.
D30: diámetro máximo de partículas en la fracción que contiene el 30% más fino del suelo.
D60: diámetro máximo de partículas en la fracción que contiene el 60% más fino del suelo.
Cc: Coeficiente de uniformidad.

No hay comentarios:
Publicar un comentario